Tehtäväsi on laskea, montako lehteä annetussa puussa on.
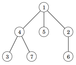
Esimerkiksi alla olevassa puussa solmut 3, 7, 5 ja 6 ovat lehtiä eli puussa on yhteensä neljä lehteä.
Toteuta tiedostoon leaves.py funktio count_leaves, jolle annetaan parametrina viittaus puun juurisolmuun. Funktio palauttaa puun lehtien määrän.
class Node:
def __init__(self, value, children=None):
self.value = value
self.children = children if children else []
def __repr__(self):
if self.children == []:
return f"Node({self.value})"
else:
return f"Node({self.value}, {self.children})"
def count_leaves(node):
# TODO
if __name__ == "__main__":
tree1 = Node(1, [Node(4, [Node(3), Node(7)]),
Node(5),
Node(2, [Node(6)])])
print(count_leaves(tree1)) # 4
tree2 = Node(1, [Node(2, [Node(3, [Node(4)])])])
print(count_leaves(tree2)) # 1
tree3 = Node(1, [Node(2), Node(3), Node(4)])
print(count_leaves(tree3)) # 3
