Tehtäväsi on muodostaa lista, joka sisältää annetun verkon kunkin solmun asteen eli solmun naapurien määrän. Listan luvut tulee järjestää pienimmästä suurimpaan.
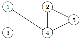
Esimerkiksi seuraavassa verkossa haluttu lista on [2,2,3,3,4], koska solmujen 3 ja 5 aste on 2, solmujen 1 ja 2 aste on 3 ja solmun 4 aste on 4.
Toteuta tiedostoon degrees.py funktio find_degrees, jolle annetaan listat verkon solmuista ja kaarista. Funktion tulee palauttaa lista solmujen asteista.
def find_degrees(nodes, edges):
# TODO
if __name__ == "__main__":
nodes = [1, 2, 3, 4, 5]
edges = [(1, 2), (1, 3), (1, 4), (2, 4), (2, 5), (3, 4), (4, 5)]
print(find_degrees(nodes, edges)) # [2, 2, 3, 3, 4]
nodes = [1, 2, 3, 4, 5]
edges = []
print(find_degrees(nodes, edges)) # [0, 0, 0, 0, 0]
nodes = [1, 2, 3, 4, 5]
edges = [(1, 2), (1, 3), (1, 4), (1, 5)]
print(find_degrees(nodes, edges)) # [1, 1, 1, 1, 4]
