- Time limit: 1.00 s
- Memory limit: 512 MB
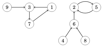
A functional graph is a directed graph where each node has outdegree 1. For example, here is a functional graph that has 9 nodes and 2 components:
Input
The only input line has an integer n: the number of nodes.
Output
Print n lines: for each k=1 \dots n the number of graphs modulo 10^9+7.
Constraints
- 1 \le n \le 5000
Example
Input:
3
Output:
17 9 1
